해운 탄소중립 전망과 과제
작성자 : 박치병 한국해양대학교 기관시스템공학부 2025.09.30 게시해운 분야 탄소중립을 위한 대한민국의 활동 및 앞으로의 전략
해운 탄소중립을 위한 동향
1. 해양환경보호위원회(MEPC) 2023년 7월, IMO의 MEPC 80차 회의에서는 세계적으로 관심이 집중되고 있는 지구온난화 극복을 위해 온실가스 배출 저감과 관련하여 강력한 목표와 새로운 규정이 채택되고 발표되었다. 먼저, ‘2023 IMO 선박 온실가스 배출 감축 전략’은 2050년까지 온실가스 50% 감축을 발표한 기존 전략 대비 확연히 강화된 전략으로, 2050년까지 해운 분야의 온실가스 배출량 순제로(Net-zero) 달성을 선언하였다. 이를 위해 IMO는 선박에서 배출되는 온실가스를 2030년까지는 20%(의욕적 목표 30%) 감축하고, 2040년까지는 70%(의욕적 목표 80%) 감축하는 중간 목표를 설정했다. 또한, 친환경 연료로의 전환을 촉진하기 위해 2030년까지 국제 해운에서 사용되는 에너지의 5-10%를 대체 제로(Alternative zero) 또는 제로에 가까운(Near-zero) 배출 연료로 대체하는 것을 목표로 하였다. 이러한 IMO의 계획은 해운 산업 전반에 걸친 근본적인 변화를 요구하며, 친환경 기술과 연료의 개발 및 도입을 크게 촉진할 것으로 보인다. 이 전략에서 또한 중요한 사항으로는, 이 전략에서 요구하는 감축 정도를 만족하는 과정에서 국제 해운의 에너지 시스템 경계 내에서 GHG 배출을 줄이고 다른 부문으로의 배출 이동을 방지하도록 하며, 이를 위해 Well-to-Wake(WtW) 관점에서 해운 연료의 온실가스 집약도를 고려하겠다고 명시하였다는 점이다. 즉, 연료의 생산부터 사용까지 전 과정에서 발생하는 온실가스를 고려하는 LCA(Life Cycle Assessment) 접근법이 채택되었으며, 배출량의 산정 방식에서 변화가 예상된다. 뿐만아니라, 2025년에는 MEPC 83차 회의를 통해 국제해운의 GHG 저감을 위한 중기조치(Mid-term measures)이행과 관련하여 MARPOL Annex VI 개정안을 승인하였고, 이로인해 해운분야의 탄소세 측면에서 많은 변화가 예상된다. 2. 탄소중립 달성을 위한 대한민국의 활동 기후 변화에 대응하고, 국제 사회의 탄소중립 목표에 발맞추기 위해, 우리나라는 2020년 12월 7일에 '2050 탄소중립 추진 전략'을 발표했다. 이와 더불어 2020년 12월에는 '2050 장기저탄소발전전략(LEDS)'과 '2030 국가온실가스감축목표(NDC)'를 확정했다. 이러한 정책들은 우리나라가 기후 변화에 대한 책임을 다하고, 국제적 환경 규제에 적극적으로 대응하기 위한 중요한 전략적 조치로 평가된다. 이 뿐만아니라, '항만지역 등 대기질 개선에 관한 특별법'을 시행하고, 부산항, 인천항, 여수·광양항, 울산항, 평택·당진항 등 5개의 주요 항만을 배출규제해역(ECA)으로 지정했다.* 특히, 부산항, 인천항, 여수·광양항, 울산항 등 4개 항만에서는 특정 선종에 대해 10~12노트 이하의 속도로 운항해야 하는 '선박저속운항 해역 및 대상 선종 등 기준 고시'를 발표하여, 항만 주변 대기질을 개선하고 온실가스 배출을 줄이기 위한 적극적인 조치를 취하고 있다. 이와 같은 규제는 우리나라가 기후 변화 대응과 더불어, 국제 해운업계에서의 지속 가능한 발전을 도모하기 위한 전략적 움직임으로, 국내외에서 긍정적인 평가를 받고 있다.
3. 탄소중립 달성을 위한 국외의 활동 IMO는 선박으로부터 발생하는 배기가스를 줄이기 위해 다양한 규제를 도입하고 있다. 대표적으로 배출규제해역(ECA: Emission Control Area)을 지정하여 이 해역 내에서의 배출을 엄격하게 통제하고 있으며, 2023년 부터는 선박의 에너지 효율을 평가하는 선박에너지효율설계지수(EEXI: Energy Efficiency Existing Ship Index)와 탄소집약도지수(CII: Carbon Intensity Indicator) 규제를 시행했다. 이 규제들은 배출 기준에 부합하지 않는 선박의 운항을 제한하는 강력한 조치로, 국제 해운업계에 상당한 영향을 미치고 있다. 유럽연합은 연료의 생산부터 연소에 이르는 모든 과정(WtW)에서 발생하는 온실가스 총량을 검토하는 FuelEU Maritime 정책을 제정하고, 2025년부터 규제 시행을 예고하였다. 또한, Green Shipping Corridor를 통해 온실가스 배출을 줄이고 탄소 중립을 실현하기 위한 국가간 협력이 시작되었다. 2021년 11월 영국 글래스고에서 열린 제26차 유엔기후변화협약 당사국총회(COP26)의 '클라이드뱅크 선언'과 2022년 11월에 개최된 제27차 총회(COP27)의 글로벌 녹색해운목표 선언은 국가 간 협력의 중요한 결과로 나타났다. 이러한 Green Shipping Corridor 이니셔티브는 2023년 7월 열린 IMO MEPC 80차 회의에서 수정된 온실가스 감축 목표를 달성하기 위한 국가 주도의 핵심 메커니즘으로 인정받고 있다. 전세계 Green shipping corridor 이니셔티브는 2022년 22건에서, 2023년에는 국제해사기구(IMO)가 개정된 온실가스 전략을 채택에 힘입어 44건으로 두 배 증가하였으며, 현재는 57개에 달한다.** 대한민국의 경우, 부산항과 미국 서부의 시애틀·타코마항을 항해하는 무탄소 선박을 투입하여 탄소중립에 기여 목표로 하고 있다.
국가 |
항만 |
발표연도 |
중간 목표시기 |
최종 목표시기 |
감축목표 |
미국 |
LA항/LB 항 |
2021년 |
2030년 |
2050년 |
- 2030년까지 1990년 대비 온실가스 배출량 40% 감축 - 2050년까지 80% 감축 |
네덜란드 |
로테르담항 |
2021년 |
2030년 |
2050년 |
- 2030년까지 온실가스 배출량 1990년 대비 55% 감축 - 2050년까지 탄소중립 달성 |
독일 |
함부르크항 |
2021년 |
2025년 |
2050년 |
- 2025년까지 CO2 배출량 2012년 대비 50% 감축 - 2050년까지 무탄소 항만 달성 |
싱가포르 |
투아스항 |
2022년 |
- |
2050년 |
- 2050년까지 무탄소 항만 달성 |
중국 |
칭다오항 |
2022년 |
- |
2060년 |
- 2060년까지 무탄소 항만 달성 |
상하이항 |
|||||
일본 |
요코하마항 |
2020년 |
- |
2050년 |
- 2050년까지 무탄소 항만 달성 |
한국 |
부산항 |
2022년 |
2030년 |
2050년 |
- 2030년까지 CO2 배출량 2018년 대비 47% 감축 - 2050년까지 탄소중립 항만 전환 |
여수·광양항 |
2021년 |
- |
2050년 |
- 2050년까지 탄소중립 항만 구축 |
|
인천항 |
2021년 |
2030년 |
2050년 |
- 2030년까지 CO2 배출량 2010년 대비 최소 45% 감축 - 2050년까지 탄소중립 달성 |
|
울산항 |
2021년 |
- |
2050년 |
- 2050년까지 항만 탄소 배출량 ‘0’ 달성 |
|
평택·당진항 |
2021년 |
- |
2040년 |
- 2040년까지 탄소중립 달성 |
표1. 주요항만 탄소중립 목표
Global Maritime Forum, Annual Progress Report on Green Shipping Corridor
해운 탄소중립을 위한 향후 전망
1. 저탄소/무탄소 연료 및 관련 기술 IMO와 EU의 환경규제가 지속적으로 강화됨에 따라 LNG 추진선, 메탄올 추진선과 같은 친환경 선박 수주가 증가하고 있으며, LNG 추진선의 수주량은 2028년까지 2.9배, 메탄올 추진선의 수주량은 8.5배 증가할 것으로 전망되고 있다. 또한 장기적으로는 IMO GHG 감축 전략에 따라 2050년까지 수소, 암모니아와 같은 무탄소 연료 선박의 발주가 크게 증가할 것으로 예상된다.

그림1. 선박 추진 연료 비중 전망
Clarksons Research, The Shipping Sector To2030: Shipbuilding & Shipping Forecast To 2030
위의 그림에서 확인할 수 있듯이, 2030년까지 LNG가 기존 화석 연료를 빠르게 대체할 것으로 예상되며, 약 70%의 비중을 차지할 것으로 전망된다. 그러나 2040년대에 접어들면서 LNG의 비중은 70%에서 40%로 감소할 것으로 예상되며, 대신 무탄소 연료가 주류로 자리 잡을 것으로 보인다. 나아가, 2050년에는 화석 연료의 비중이 거의 0%에 수렴하고, 무탄소 연료가 79%, LNG가 21%의 비중을 차지하게 될 것으로 예측된다. 또한 탄소중립(net-zero) 관점에서, 메탄올 또한 해운의 유력 연료로 전망된다. 메탄올은 일부 기존 벙커링 인프라를 이용할 수 있다는 장점이 있으며, 새로운 선박 또는 개조된 선박에서의 저장 탱크 비용이 암모니아에 비해 낮다는 이점을 가지고 있다. 이러한 이유로 메탄올을 연료로 사용하는 선박의 건조가 증가하고 있지만, 충분한 e-메탄올의 생산을 위한 재생 가능 전기를 저비용으로 확보하는 것이 큰 도전 과제가 될 것으로 보인다. DNV의 예측에 따르면, 2030년 기준 해운 업계에서 e-메탄올의 채택은 전체 연료의 약 2%를 차지할 것으로 예상되며, 2040년에는 10%, 2050년에는 14%까지 상승할 것으로 예측하였다. 암모니아는 해양 운송에서 탈탄소화를 달성하기 위한 또 다른 매우 유망한 대체 연료이지만, 여러 가지 과제를 가지고 있다. e-메탄올과 유사하게, 암모니아는 기존 인프라의 대부분을 사용할 수 있지만, 다른 대안보다 훨씬 높은 생산 비용이라는 문제를 가지고 있다. 재생 가능 에너지에서 생산되는 경우, 변환 손실이 상당하며, 친환경 전력 생산에 대한 대규모 확장이 필요하다. 그러나 천연가스로부터 암모니아를 생산하고, 이 과정에서 CO2를 포집하는 것은 상대적으로 간단하기에, 해운에서 사용되는 암모니아의 대부분은 단기적으로 청색 암모니아(Blue ammonia)일 가능성이 크다. 암모니아의 독성 문제가 해결된다면, 저렴한 생산 지역에서 전 세계 벙커링 허브로 대규모 운송이 이루어지고 사용될 것으로 기대된다. 암모니아는 2030년까지는 전체 연료 비율의 0.3%로 e-메탄올보다 적은 사용이 예상되지만, 이후 갈수록 빠르게 확장하여 2040년에는 약 8%까지 상승하고, 2050년에는 35%까지 해운 연료 시장에서 점유율이 확대될 것으로 예상된다.

그림2. 연료 시나리오에 따른 2030 해운 시장 연료 전망
Lloyd’s Register, The future of maritime fuels
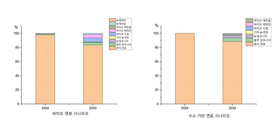
하지만 이러한 전망은 특정 연료 기술의 시장 선점 또는 생산 및 보급 시스템의 시의성에 따라 달라질 수 있으며, 그림 2와 같이 바이오연료 기반의 연료 또는 수소 기반의 연료가 해운 시장의 주 연료로 활용되는 시나리오에 따라 상이한 전망이 그려진다. 또한, 이러한 시나리오에 기반한 2050년 해운 시장 연료 전망은 그림 3과 같이 더욱 뚜렷한 차이점을 보인다.

그림3. 연료 시나리오에 따른 2050 해운 시장 연료 전망
Lloyd’s Register, The future of maritime fuels
2. 디지털 전환 선박 배출량 검토, 자율운항선박, Green Shipping Corridor 등의 효율적인 시행 및 관리를 위해서는 해운 및 항만 관리 시스템의 디지털화가 필수적으로 수반될 것으로 예상된다. 또한, 디지털 기술을 활용한 운항 최적화를 통해 에너지 절감 잠재력을 발굴하고 활용할 수 있다. 디지털화는 선박, 육상 사무소, 항만 간의 통합과 소통을 강화하여 여러 가지 중요한 이점을 제공할 수 있을 것으로 기대된다. 이러한 이점에는 선박에서 실시간으로 소모되는 연료량을 기반으로 한 배출량 계산 및 규정 충족 여부 검증, 자율운항선박에 대한 효율적이고 안전한 운항 및 관리, Green Shipping Corridor 운영의 표준화, 개선, 일정의 간소화, 효율적인 물류 운영, 그리고 정보 교류의 안전성 및 신뢰성 증대 등의 다양한 요소들이 포함될 수 있다. 디지털 도구를 활용하게 되면 선대 활용도와 성능이 개선되어 에너지 절약과 비용 절감으로 이어질 수 있으며, 디지털 기술은 물류 시스템 내에서 자율운항의 부상을 준비하는 데 중요한 역할을 할 수 있을 것으로 기대된다.
대응전략
1. 저탄소?무탄소 연료 및 관련 기술 대응 탄소중립을 향한 변화는 친환경 선박과 연료의 중요성을 부각시키며, 조선업계와 해운업계가 지속 가능한 미래를 위한 기술 혁신을 가속화해야 함을 시사한다. 국제사회가 설정한 환경 목표를 달성하기 위해서는 선박 연료와 기술의 패러다임 전환이 필수적이며, 이에 대한 준비와 대응이 시급하다. 탄소중립 연료로의 전환은 해운 산업 전반에서 선원과 육상 조직의 역량 개발과 연료별 지식의 발전이 동시에 이루어져야 한다. 기존의 연료와 비교할 때, 수소, 암모니아, 메탄과 같은 대체 연료는 각기 다른 특성으로 인해 안전성에 새로운 위험 요소를 가져온다. 수소, 암모니아, 메탄은 기체 상태로 존재해 벙커링 작업과 선박 내 연료 저장, 연료 분배 및 유지 관리에 복잡성을 더하며, 암모니아와 메탄올은 독성이 있고, 메탄, 수소, 암모니아는 저온 위험을, 메탄올, 메탄, 수소는 인화성을 지닌다. 이러한 특성은 연료 관리와 관련된 안전 절차를 복잡하게 만든다. 이러한 새로운 연료에 대한 운영 경험이 거의 없거나 부족한 상황에서, 관련 역량을 강화하는 긴급한 조치가 필요하다. 새로운 운영 안전 문제를 제기하는 연료가 도입될 때는 연료별 역량을 갖춘 선원의 확보가 매우 중요하다. 연료 운영 및 유지보수 시 발생하는 위험 요소를 명확히 이해하고 이를 통제하고 완화할 수 있는 능력이 필수적이다. LNG 연료의 점진적인 도입은 LNG 운반선의 화물 기화가스를 연료로 사용하는 경험이 수십 년간 축적된 결과로, 오늘날 원양 운송에서 LNG를 연료로 채택하게 된 중요한 배경이 되어 왔다. 또 다른 관련 탄화수소 기체 연료인 LPG는 현재 LPG 운반선에서만 사용되며, 이들 선원의 LPG 처리 경험이 관련 역량의 중요한 부분을 차지한다. 메탄올에 대해서도 화학 운반선과 해양 공급선에서 화물 및 연료로 운반되는 경험이 있으며, 첫 메탄올 추진 선박에서도 관련 경험이 축적되고 있다. 반면, 암모니아의 경우, 해운 산업은 가스 운반선에서 암모니아를 운반하거나 냉동 장치의 냉매로 사용하는 경험이 있지만, 연료로 사용하는 경험은 전무하다. 해운업의 탈탄소화가 시급한 만큼 암모니아 연료의 주요 도입이 예상보다 더 빠르게 진행될 가능성이 있어, 선박 운영자와 규제 당국이 설치와 안전한 운영 관행에 추가적인 관심을 기울여야 한다. 수소 에너지의 경우, 해상 화물로 운송된 경험은 일본의 한 파일럿 프로젝트를 제외하고는 거의 없으며, 선박 연료로 사용된 경험도 소규모 연구 개발 프로젝트에 한정되어 있다. 수소가 선박 연료로 정식 도입되기 위해서는 여전히 광범위한 연구와 개발, 그리고 교육이 필요하며, 안전하고 효과적인 사용을 보장하기 위한 노력이 절실히 요구된다. 2. 디지털 전환에 대한 대응 제4차 산업혁명의 핵심 기술들이 조선산업에 도입되면서, 대형 조선소들을 중심으로 스마트, 디지털, 자율운항 선박 개발 사업이 활발히 추진되고 있다. 이와 더불어 조선해양 산업 전반에서 데이터 관리와 활용이 중요한 이슈로 부상하고 있다. 조선소뿐만 아니라 기자재 공급업체와 해운 업계에서도 친환경적이고 경제적인 운항, 선대 관리, 기자재 유지보수 등의 다양한 서비스를 제공하기 위해서는 선박 정보와 운항 데이터를 효과적으로 관리하고 활용하는 것이 필수적이다. 이러한 요구를 충족시키기 위해서는 디지털 데이터 플랫폼의 구축이 매우 중요한 요소로 작용한다. 선박의 경제운항서비스 제공을 위해 선박과 육상 간의 원활한 정보 교환이 필요하며, 이에 따라 선박 운항 데이터 수집의 확대와 디지털화가 필수적이다. 기술, 정책, 시장 전망과 함께 선박 온실가스 배출량에 따른 항만 및 선박 관리 디지털 기술의 중요성이 더욱 부각되고 있으며, IMO와 EU의 강화된 환경 규제, 친환경 선박 시장의 급속한 성장, 첨단 해양 모빌리티 시장의 확대로 인해 이러한 기술의 수요와 시장이 더욱 확대될 것으로 예상되는 만큼 철저한 준비와 대응이 필요하다.
3. 국제협력을 통한 대응 친환경 연료 도입, Green Shipping Corridor, 디지털 전환과 괕은 패러다임에 대응하기 위해서는 범국가적 차원의 연구와 협력이 필수적이다. 이러한 협력은 국내 다양한 기술들의 해외 실증과 마케팅 기회를 확보하고, 기술 개발과 국제 규정 만족, 비용 절감을 이루어 냄으로써 글로벌 시장에서의 경쟁력을 강화하는 데 중요한 역할을 할 수 있다. 대한민국은 2024년에 유럽연합(EU)의 Horizon Europe 프로그램의 준회원국으로 가입하였으며, 이는 한국 조선해운 산업의 글로벌 기술 경쟁력 강화와 지속 가능한 발전을 위한 중요한 기회가 될 수 있다. 이 프로그램을 통해 한국의 조선해운 기업들은 유럽의 최신 기술과 혁신적인 연구 성과를 도입해 첨단 조선 기술을 개발하고 상용화할 수 있다. 특히, 유럽의 연구기관 및 기업들과 협력하여 친환경 선박 기술, 저탄소 연료, 에너지 효율 개선 기술 등을 개발할 수 있다. 이러한 기술 개발을 통해 대한민국의 조선해운 산업이 국제적인 환경 규제에 선제적으로 대응하고, 글로벌 시장에서 경쟁력을 더욱 강화하는 데 기여할 수 있을 것으로 기대된다.

그림4. 과학기술 분야 세계화를 위한 대한민국의 Horizon Europe 합류
Science|Business, South Korea joins Horizon Europe in multi-billion euro push to globalise science
본 사이트(LoTIS. www.lotis.or.kr)의 콘텐츠는 무단 복제, 전송, 배포 기타 저작권법에 위반되는 방법으로 사용할 경우 저작권법 제 136조에 따라 5년 이하의 징역 또는 5천만원 이하의 벌금에 처해질 수 있습니다.
핵심단어 | |
자료출처 | |
첨부파일 |
집필진 | ||